Vietnam Airlines huỷ một số chuyến bay chặng Hà Nội - Nha Trang

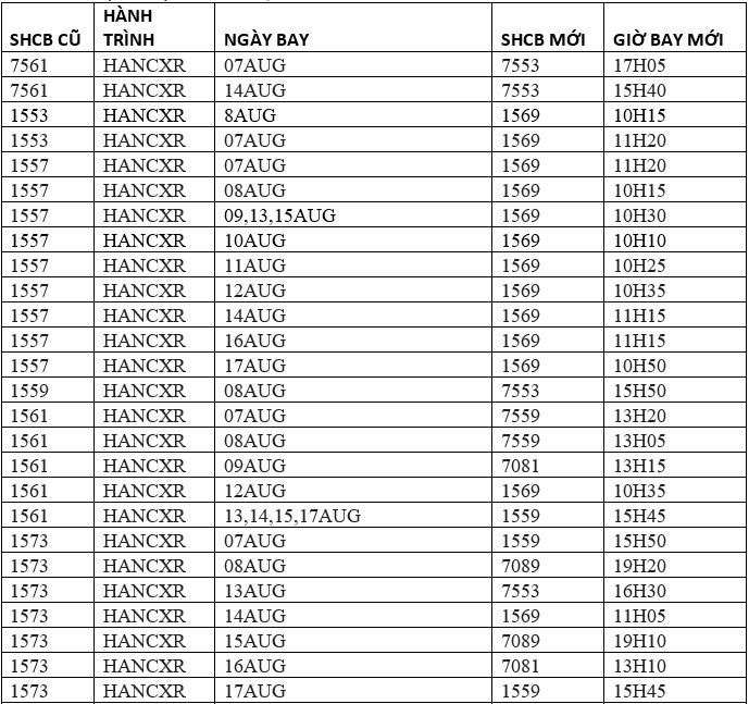
Vì lý do dịch bệnh Covid-19, Vietnam Airlines thông báo huỷ một số chuyến bay từ Hà Nội đi Nha Trang, giai đoạn 07 - 17/08/2020. Thông tin chi tiết như sau.
Vì lý do dịch bệnh Covid-19, Vietnam Airlines thông báo huỷ một số chuyến bay từ Hà Nội đi Nha Trang, giai đoạn 07 - 17/08/2020. Thông tin chi tiết như sau.

Cập nhật tin tức Vietnam Airlines
Thông tin các chuyến bay bị huỷ:
.jpg)
Để được tư vấn và hỗ trợ tốt nhất, vui lòng liên hệ vé máy bay Etrip4u:
Hotline: 1900 63 69 69
Địa chỉ: 51 Đào Duy Từ, Hoàn Kiếm, Hà Nội
{{ comment.CommentContent }}